最佳回答
本文由作者推荐
详细内容
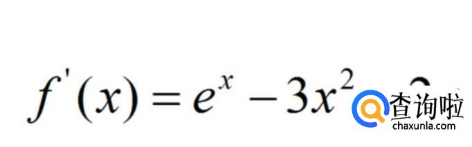
- 01
先写出该方程的导函数.`
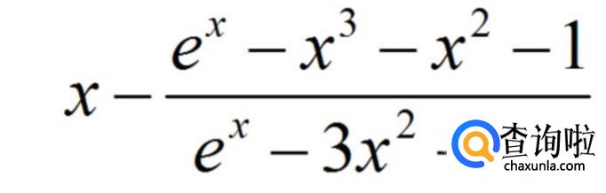
- 02
在计算器上输入一个数按等于,然后在计算机上写出下图的算式,x在计算机上用Ans代替.
- 03
然后一直按等于直到这个值不再变化.这个方法适用于所有的初等函数的未知数方程.

工具/材料
科学计算器.
广告位
点击排行
- 2 排行
- 3 排行
- 4 排行
- 5 排行
- 6 排行
- 7 排行
- 8 排行
- 9 排行
- 10 排行
热点追踪
广告位

