详细内容
- 01
斐波拉契数列一直被认为是大自然中的神奇异数。
它的相邻两项之商趋近黄金分割0.618,与之相关的0.191、0.382和0.500等数字,构成了股市中市场时间和空间计算的重要节点。金融市场的时间和价格服从斐波拉契数列,有时准确率达到十分惊人的程度。
- 02
斐波纳契(Fibonacci)中世纪欧洲比萨共和国的意大利数学家,被认为是当时“ 最有才华的西方数学家”。不过我们现在来这样称呼他,可能会让他本人列奥纳多·皮萨诺(Leonardo Pisano)感到错愕。同样让他感到惊讶的是,最让世人津津乐道是以他命名的这个斐波那契数列:0,1,1,2,3,5,8,13……,而并非本人更伟大的数学成就——将阿拉伯数字和乘数的位值表示法系统引入了欧洲。
- 03
斐波那契在《计算之书》中研究的一个数学问题是关于兔子在理想环境下繁殖的速度。假设一对新生的兔子,一只公的,一只母的,被放进田里豢养。兔子可以在一个月大的时候交配,这样在第二个月的月底,雌性兔子就能生产出另一对兔子。假设兔子永远不会死,从第二个月开始,雌兔每个月都会生一对新的兔子(一只雄的,一只雌的)。斐波那契提出的问题是。一年后总共会有多少对兔子?
- 04
· 在第一个月末,它们交配,但仍然只有一对。
· 在第二个月末,雌兔生了一对新的兔宝宝,所以现在共有2对兔子。
· 在第三个月末,原来的雌性产生了第二对,总共生产了3对。
· 在第四个月末,原来的雌性又生产了一双新的,两个月前出生的第二代雌性也生产了她的第一对,现在共有五对兔子。
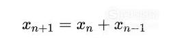
现在假设一下,n个月后有 x_n 对兔子。则 n+1个月将有的兔子数,是 x_n 对兔子,(兔子永远不会死)加上新出生的一对数。但是新的一对只出生在至少一个月大的时候,所以会有 x_(n-1) 对新兔子。
这只是产生斐波那契数列的规则:最后两项相加得到下一项。接下来,你会发现在12个月之后,将会有233对兔子。
- 05
兔子的问题显然是人为设立出来的,但斐波那契数列也确实出现在大自然实际种群中,而蜜蜂就是其中一个实例。在蜂群中,有一种特殊的雌性叫做蜂王。其他雌性都是工蜂,而工蜂不会产卵。另外的雄性蜜蜂并不工作,被称为雄蜂。
雄蜂是由蜂王的未受精卵子产生的,所以说它只有母亲而没有父亲。而所有的雌性都是在蜂王和一只雄性交配的时候产生的。因此,雌性蜜蜂有父母,一个雄性和一个雌性,而雄蜂只有一个母亲,一个雌性。
- 06
蜜蜂种群并不是自然界中唯一出现斐波那契数的地方,它们也以美丽的贝壳螺旋形状出现。我们可以看下面的动画,从两个大小为1的小正方形开始。在这两个小正方形上面画一个大小为2的正方形(=1+1)。我们现在可以画一个新的正方形-同时紧贴一个单位正方形和第二个新正方形的边的,所以边有3个单位长;然后另一个同时紧贴2个正方形和3个正方形(它有5个单位的边)。我们可以继续在图片周围添加正方形,每一个新的正方形都有一个边,其长度与最近两个正方形的边之和一样长。这组矩形的边长是两个相邻的斐波那契数,我们称之为黄金矩形。
- 07
斐波那契数列也出现在植物的花瓣、萼片中。有些植物也按这种方式生长开来,比如雏菊可以有34,55,甚至多达89瓣!还有就是一个特别神奇、美丽的排列是花蕾中的螺旋线。下一次当你看到向日葵时,仔细观察花盘中的种子排列,会发现两组螺旋线,一组顺时针向右,一组逆时针向左,并且彼此镶嵌,按照这种方式排列生长。

点击排行
- 2 排行
- 3 排行
- 4 排行
- 5 排行
- 6 排行
- 7 排行
- 8 排行
- 9 排行
- 10 排行

