最佳回答
本文由作者推荐
详细内容
- 01
高斯消元法
我们对线性方程组可以做如下的三种变换:
(1)将一个非零常数
(2)将一个方程的若干倍加到另一个方程上;
(3)交换两个方程的位置。
- 02
我们将线性方程组的这三种变换称之为线性方程组的初等变换。对方程组做初等变换得到的新的线性方程组与原来的线性方程组是同解的。易知,对线性方程组做初等行变换等价于对增广矩阵做相应的初等行变换。
注:由于齐次线性方程组的常数项恒为零,我们在对其做初等变换时只需对它的系数矩阵做相应的初等行变换。
- 03
高斯消元法
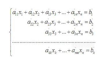
我们对线性方程组做初等变换的目的是为了将其化为与之同解的如下形式的线性方程组:
- 04
在该方程组中,每一个方程都至少比上一个方程少一个未知量,这种方程称为阶梯型方程。在阶梯型方程组中,每一行的第一个未知量称为主元,其余的未知量称为自由变量。阶梯型方程组的解是比较容易求得的。
- 05
利用高斯消元法求解线性方程组就等价于利用初等行变换将线性方程组的增广矩阵化为阶梯型矩阵。再将最后的增广矩阵还原为线性方程组同样可以求出原方程组的解。不难看出该求解过程更为简洁。

广告位
点击排行
- 2 排行
- 3 排行
- 4 排行
- 5 排行
- 6 排行
- 7 排行
- 8 排行
- 9 排行
- 10 排行
热点追踪
广告位



